宇同学2022-12-29 22:39:57
38. The average return for Portfolio A over the past twelve months is 3%, with a standard deviation of 4%. The average return for Portfolio B over this same period is also 3%, but with a standard deviation of 6%. The geometric mean return of Portfolio A is 2.85%. The geometric mean return of Portfolio B is:A. less than 2.85%.B. equal to 2.85%.C. greater than 2.85%
回答(1)
Evian, CFA2022-12-30 10:00:02
ヾ(◍°∇°◍)ノ゙你好同学,
可以从两个角度判断:
1.定性:当随机变量的波动越大时,A和G相差越远。当算数平均数相同的情况下,由于B组合比A的标准差更大,于是B的几何平均数更小。
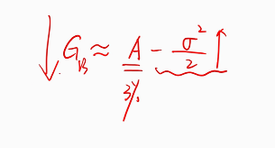
2.定量:用G≈A-1/2σ²判断,当随机变量的波动越大(σ↑)时,A和G相差越远。
字母表示信息:
A:arithmetic mean
G:geometric mean
登录金程网校查看视频解析:
https://www.gfedu.cn/home/#/exam/single/q101876/
----------------------
学而时习之,不亦说乎👍【点赞】鼓励自己更加优秀,您的声音是我们前进的源动力,祝您生活与学习愉快!~
- 评论(0)
- 追问(0)
评论
0/1000
追答
0/1000
+上传图片


