two2022-12-07 22:25:57
请问关于b0,b1要地位相同这一点,是要以e为底数还是什么,比如前面一个例子Y=4X^2,b0和b1分别是4和2吧,那不也是不同地位吗?还有我们是怎么确定哪个是b0和b1的,比如Y=5x^(2x+1)+3,这里哪个是b0, b1呢?
回答(1)
Evian, CFA2022-12-08 19:36:05
ヾ(◍°∇°◍)ノ゙你好同学,
请问关于b0,b1要地位相同这一点,是要以e为底数还是什么
【回复】地位相同的意思是:最终结果可以转为线性方程“Y=b0+b1X”的形式(如截图)
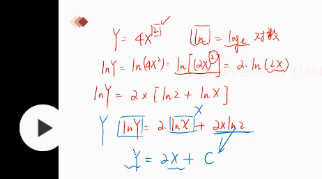
比如前面一个例子Y=4X^2,b0和b1分别是4和2吧,那不也是不同地位吗?
【回复】如截图,蓝色部分,线性方程:Y=b0+b1X,此时的X和Y成比例变化,X变动一个单位,Y变动b1个单位
还有我们是怎么确定哪个是b0和b1的,比如Y=5x^(2x+1)+3,这里哪个是b0, b1呢?
【回复】Y=5x^(2x+1)+3无法化简为Y=b0+b1X这个形式
----------------------
学而时习之,不亦说乎👍【点赞】鼓励自己更加优秀,您的声音是我们前进的源动力,祝您生活与学习愉快!~
- 评论(0)
- 追问(3)
- 追问
-
谢谢你的回答。不过我疑惑的点是视频大约39:25的位置说地位相同是指b0和b1都在指数上,或都不在指数上才能做线性回归,视频中40:10左右给的例子也是直接通过这点来判断的(而非通过运算看是否能转化为Y=b0+b1X的形式)。那么比如Y=4X^2,这里的b0和b1是4和2的话,一个在指数上,一个不在指数上,地位不同那应该不能转化成线性回归呀?还是说b0和b1都在指数上,或都不在指数上这个判断只是针对b0e^(b1x+constant)这种形式的?
- 追答
-
感谢提供视频时间节点
视频大约39:25的位置说地位相同是指b0和b1都在指数上,或都不在指数上才能做线性回归,视频中40:10左右给的例子也是直接通过这点来判断的(而非通过运算看是否能转化为Y=b0+b1X的形式)。
【回复】b0和b1在同一地位,就是为了方便转为下图线性回归方程Y=b0+b1 X的形式。
老师说的“同一地位”,相当于“转化为线性回归方程的意思”
那么比如Y=4X^2,这里的b0和b1是4和2的话,一个在指数上,一个不在指数上,地位不同那应该不能转化成线性回归呀?
【回复】嗯嗯,不可以转化
- 追答
-
还是说b0和b1都在指数上,或都不在指数上这个判断只是针对b0e^(b1x+constant)这种形式的?
【回复】不针对b0e^(b1x+constant)这种形式,老师仅用“b0e^(b1x+constant)”举例,包含这个例子我们一共学习了3中形式的转化
评论
0/1000
追答
0/1000
+上传图片




