lola2022-12-05 21:45:41
老师可以演示一下这个数字是怎么算出来的吗,我怎么算的不太对,谢谢。
回答(1)
最佳
Danyi2022-12-06 10:59:08
同学你好,
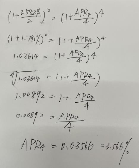
以APR4为例,见下图计算过程。
为乘风破浪的你【点赞】👍让我们知晓您对答疑服务的支持!
- 评论(0)
- 追问(0)
评论
0/1000
追答
0/1000
+上传图片


