Wa仔2022-11-02 08:59:12
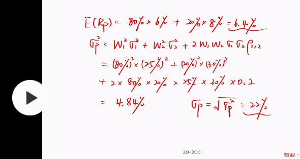
请问第44题,关于投资组合的方差的公式是如何推导得到的?可以去回顾课件的哪一部分?
回答(1)
Evian, CFA2022-11-02 14:48:28
ヾ(◍°∇°◍)ノ゙你好同学,
推导规程不需要掌握,考试会考我们会不会默写公式并带入数字计算结果
如果找到推导过程?请参考以下截图和文字
在11月班型里找到基础段
组合管理
----------------------
学而时习之,不亦说乎👍【点赞】鼓励自己更加优秀,您的声音是我们前进的源动力,祝您生活与学习愉快!~
- 评论(0)
- 追问(1)
- 追答
-
Irene 女老师
章节:Portfolio Risk and Return: Part I
知识点:Modern Portfolio Theory
时间点:16分46秒
评论
0/1000
追答
0/1000
+上传图片




