Wa仔2022-11-02 08:23:48
请问第40题Variance那个公式Var=E[(X-E(x))^2]是如何得到的?不是很理解,可以再解释一下吗?
回答(1)
Evian, CFA2022-11-02 15:00:19
ヾ(◍°∇°◍)ノ゙你好同学,
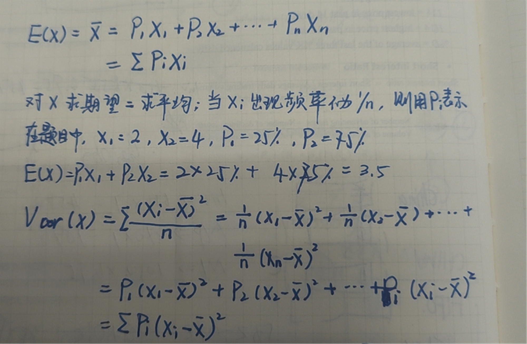
求一组随机变量的方差
等于求一组随机变量距均值的“距离”,平方之后,求期望/求平均
----------------------
学而时习之,不亦说乎👍【点赞】鼓励自己更加优秀,您的声音是我们前进的源动力,祝您生活与学习愉快!~
- 评论(0)
- 追问(0)
评论
0/1000
追答
0/1000
+上传图片


