天堂之歌

听歌而来,送我踏青云〜

您现在的坐在位置:首页>智汇问答>CFA一级

赵同学2022-10-22 10:57:55

可以算出MD再算PVBP吗?先算出Mac.D然后除以1.05就可以算出MD了。

查看试题

回答(1)

Danyi2022-10-24 15:45:39

同学你好,
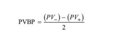
不可以,PVBP是变动1bps所对应的债券价格的变动量,通常用下列公式计算


为乘风破浪的你【点赞】👍让我们知晓您对答疑服务的支持!~

  • 评论(0
  • 追问(0
评论

精品推荐

评论

0/1000

追答

0/1000

+上传图片

    400-700-9596
    (每日9:00-21:00免长途费 )

    ©2026金程网校保留所有权利

    X

    注册金程网校

    验证码

    同意金程的《用户协议》
    直接登录:

    已有账号登录