天堂之歌

听歌而来,送我踏青云〜

您现在的坐在位置:首页>智汇问答>CFA一级

李同学2022-10-20 20:13:30

1.是eur升值还是usd升值呢?2.升值贬值和利率的关系是?

查看试题

回答(1)

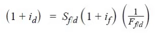
roushan2022-10-21 19:05:05

哈喽同学,1,EURO是升值的,因为一单位EURO可以换更多的USD, 所以是升值的。
2,汇率和利率的公式如下图所示,当一国利率升值的时候,说明该国的利率是小于外国的利率,反之则大于外国的利率。

  • 评论(0
  • 追问(0
评论

精品推荐

评论

0/1000

追答

0/1000

+上传图片

    400-700-9596
    (每日9:00-21:00免长途费 )

    ©2026金程网校保留所有权利

    X

    注册金程网校

    验证码

    同意金程的《用户协议》
    直接登录:

    已有账号登录