xx2022-10-06 11:06:51
什么情况下可以用BASE法则?没想到NPV也可以用
回答(1)
Nicholas2022-10-20 14:46:20
同学,下午好。
BASE法则更多用在财报中计算资产负债表期末值,即考虑期初、中间变化值,进而计算期末值。想问下同学描述的NPV是具体哪个题目,方便为你解答,感谢。
- 评论(0)
- 追问(2)
- 追问
-
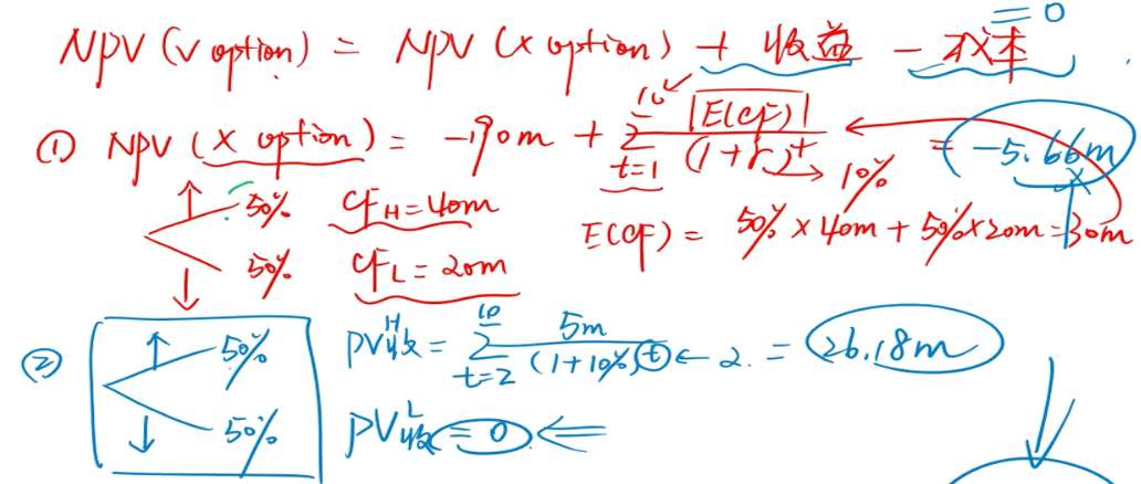
进阶第二题NPV_option=NPV_option+收益-成本。之前没见过这个公式
- 追答
-
同学,晚上好。
这个是针对含有可选择行权权利的NPV计算,它是基于原有的NPV基础上,加上行使权利获得的好处,扣减行使权利需要付出的额外成本,得到行使权利后的NPV。
加油,祝你顺利通过考试~
评论
0/1000
追答
0/1000
+上传图片

