杨同学2022-09-28 14:31:28
老师,这道题的B选项,当时解答老师说的是说反了,方差不是0时,算术平均值应该比几何平均值大,为什么会比它我不是很理解。
回答(1)
最佳
Evian, CFA2022-09-28 20:06:06
ヾ(◍°∇°◍)ノ゙你好同学,
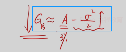
我们发现“几何平均数G”和“算数平均数A”直接存在一种大致关系,如下截图
G是A减去一个数值的结果,所以G大概率下会小于A,只有数据没有波动(σ=0)时,G=A
----------------------
学而时习之,不亦说乎👍【点赞】鼓励自己更加优秀,您的声音是我们前进的源动力,祝您生活与学习愉快!~
- 评论(0)
- 追问(0)
评论
0/1000
追答
0/1000
+上传图片


