xx2022-09-26 11:11:36
1)A选项,USD_expect贬值,所以现在trade_at_premium呀,2)C选项,EUR升值,钱越来越值钱,而利率就是反应这个的指标,所以利率应该是上升而不是下降呀
回答(1)
Johnny2022-09-27 10:43:20
同学你好
1. 美元的远期汇率会小于当前的即期汇率,那么应该是trade at discount才对。他不是问你当前的美元的即期汇率相对于远期汇率是高还是低,而是问你当前美元的远期汇率是premium还是discount
2. 目前EUR的远期汇率高于即期汇率,那么是EUR的利率低于USD。要注意的是哪国利率更低,哪国就处于forward premium;哪国利率更高,哪国就处于forward discount。这里并没有体现出EUR的升值和贬值,只是给出的当前市场上的即期汇率和远期汇率,而EUR是否真的有升值,那要等到以后才知道,通过未来市场的EUR的即期汇率和当前市场上的即期汇率来做对比得出。
- 评论(0)
- 追问(4)
- 追问
-
为什么美元的远期汇率是discount?然后为什么利率低就是forward_premium?
- 追答
-
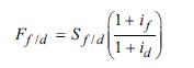
同学你好,目前的汇率标价形式是USD/EUR,所以我们考虑的是EUR和USD之间的相对大小。既然EUR是处于forward premium,那么相对的USD就是处于forward discount,汇率数字的上升就意味着EUR能兑换到更多的USD,USD只能兑换到更少的EUR。
至于利率和远期汇率的关系,这个要取决于如下公式,它是根据套利法则来得出的。USD是分子货币,EUR是分母货币,如果USD利率大于EUR利率,USD/EUR的远期汇率会大于即期汇率,EUR处于forward premium
- 追问
-
这个公式在讲义上貌似没找到诶。另外利率高低和货币本身价值有关吗?因为记得有老师说过利率高一点的话其实也代表货币价值也高,这个应该怎么理解呢呜呜
- 追答
-
同学你好,这个公式是我在原版教材上扒下来的,以后你在二级还会学到。利率高低和货币本身价值是有一定关系的,通常而言在短期内,一国利率越高则会有短期资金流入,带动本币升值
评论
0/1000
追答
0/1000
+上传图片


