回答(1)
最佳
Evian, CFA2022-09-15 14:48:15
ヾ(◍°∇°◍)ノ゙你好同学,
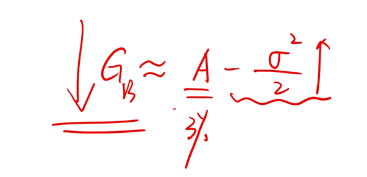
题目给出的信息说明,两组数据(X和Y)的算术平均值相等(3%),其中X这组数据的标准差较大(数据离散程度较大),Y这组数据的标准差较小(数据离散程度较小)。按照以下截图公式,A算术平均值不变的情况下,标准差越大,几何平均数越小,X这组数据的几何平均数较小
----------------------
学而时习之,不亦说乎👍【点赞】鼓励自己更加优秀,您的声音是我们前进的源动力,祝您生活与学习愉快!~
- 评论(0)
- 追问(2)
- 追问
-
老师不是讲了2个方法吗,就是讲解视频中的前半部分。她说,偏离远,几个平均值小,按第一个方法分析是什么呢。
- 追答
-
如果一组数据的波动越大,那么A>G>H这个关系中,G距离A越远,H距离G越远
评论
0/1000
追答
0/1000
+上传图片


