xx2022-09-13 11:05:02
为什么gp能拿前10%的2%?
回答(1)
Evian, CFA2022-09-13 21:26:05
ヾ(◍°∇°◍)ノ゙你好同学,
因为追赶条款规定了这样做。
Catch-up clause仅对IF产生作用,和MF没有关系,学习和考试中此条款不考虑MF计算。IF: incentive fee 激励费;MF: management fee 管理费
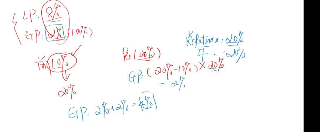
结合附图讲义截图,按照包含追赶条款(GP profits with a catch-up clause)定义,来计算GP管理者和LP投资者的收益:
1 LP首先获得了全部(最上方的方块8%)门槛值部分,将门槛值收益作为80%部分
2 推出20%部分为绩效费(右边红色方块100% for GP,2%)【这里体现了100%的含义,GP拿到100%的这部分(2%)收益作为IF】
3 此时依旧有剩余的投资收益8%(右下角浅蓝色和红色方块),按照特定比例分成:将8%的80% for LP, 将8%的20% for GP
以上IF(给GP)共2%+1.6%=3.6%
----------------------
学而时习之,不亦说乎👍【点赞】鼓励自己更加优秀,您的声音是我们前进的源动力,祝您生活与学习愉快!~
- 评论(0)
- 追问(5)
- 追问
-
为啥视频中算的给GP的是4%呢?(前10%的2%,后10%的2%)
- 追答
-
1 LP首先获得了全部(8%)门槛值部分,将门槛值收益作为80%部分
2 推出20%部分为绩效费(2%)
3 此时依旧有剩余的投资收益10%,按照特定比例分成:将10%的80% for LP, 将10%的20% for GP
以上IF(给GP)共2%+2%=4%
- 追问
-
截图上的题和老师讲的题在哪里有不同呢?
- 追问
-
好像激励费都是20%?
- 追答
-
截图上的题和老师讲的题在哪里有不同呢?
【回复】区别在于:收入不一样,一个是r=18%,一个是r=20%
好像激励费都是20%?
【回复】我们在另类科目中遇到的激励费都是20%
评论
0/1000
追答
0/1000
+上传图片



