马同学2022-08-28 14:49:06
RSS+SSE怎么会数值上等于TSS呢?
回答(1)
Evian, CFA2022-08-29 10:19:39
ヾ(◍°∇°◍)ノ゙你好同学,
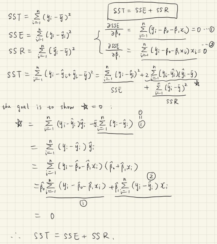
这个关系掌握结论即可,推导过程请参考下图
----------------------
学而时习之,不亦说乎👍【点赞】鼓励自己更加优秀,您的声音是我们前进的源动力,祝您生活与学习愉快!~
- 评论(0)
- 追问(0)
评论
0/1000
追答
0/1000
+上传图片

