xx2022-08-20 14:31:09
可以用pv=-104.967,fv=100,n=5*12=60,pmt=5/12=0.4167去做吗
回答(1)
Danyi2022-08-22 11:42:21
同学你好,
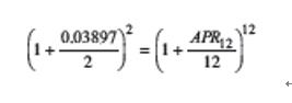
不可以,这道题考的是APR转换公式,见下图讲义。将数据代入计算即可,只有这一种方法
为乘风破浪的你【点赞】👍让我们知晓您对答疑服务的支持!~
- 评论(0)
- 追问(2)
- 追问
-
我的计算方法哪里有问题所以行不通呢?
- 追答
-
没有这种计算方法的哈,这种题目明确了就是要求使用这个转换公式(题干信息给出了under this conversion)
评论
0/1000
追答
0/1000
+上传图片



