天堂之歌

听歌而来,送我踏青云〜

您现在的坐在位置:首页>智汇问答>CFA一级

ksming_2022-08-07 11:21:03

这道题怎么理解呢 带入的数值都不是很懂哪里来的

查看试题

回答(1)

Danyi2022-08-08 10:04:16

同学你好,
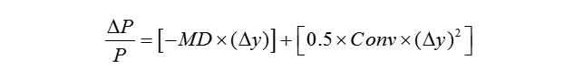
题干中25 basis point就是∆y,然后选项里面每个选项都给了duration和convexity的数值,带入到下图公式中即可计算出。

为乘风破浪的你【点赞】👍让我们知晓您对答疑服务的支持!~

  • 评论(0
  • 追问(0
评论

精品推荐

评论

0/1000

追答

0/1000

+上传图片

    400-700-9596
    (每日9:00-21:00免长途费 )

    ©2026金程网校保留所有权利

    X

    注册金程网校

    验证码

    同意金程的《用户协议》
    直接登录:

    已有账号登录