含同学2022-08-03 22:45:45
这个spot和forward题没看懂,麻烦了
回答(1)
Danyi2022-08-04 10:38:32
同学你好,
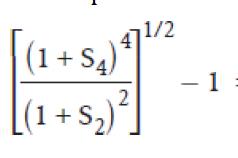
本质这道题的公式就是spot rate 和forward rates之间进行转换。见下图讲义。
区别就是这里并不是间隔一年,而是两年,所以公式稍作改变如下(第二张图)
----------------------
学而时习之,不亦说乎【点赞】鼓励自己更加优秀,您的声音是我们前进的源动力,祝您生活与学习愉快!~
- 评论(0)
- 追问(0)
评论
0/1000
追答
0/1000
+上传图片



