回答(1)
Danyi2022-08-04 10:07:17
同学你好,
题干这里是if the bond´s yield increases by 100 basis points, 也就是上升,所以是正的。
----------------------
学而时习之,不亦说乎【点赞】鼓励自己更加优秀,您的声音是我们前进的源动力,祝您生活与学习愉快!~
- 评论(0)
- 追问(4)
- 追问
-
公式里,这里不是用负的吗?
- 追答
-
那是公式前面整体的负号,并不是表示收益率的变动率是负的。
- 追问
-
可以讲解一下公式吗,谢谢!
- 追答
-
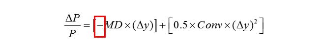
见下图公式,MD前面的负号是本身的公式,而不是∆𝑌是正负时的负号,∆𝑌下降,那么∆𝑌这里带入负值,但是前面的负号依然存在
评论
0/1000
追答
0/1000
+上传图片

