Wang2022-08-02 23:31:41
老师这道题,(1+5%/2)的10次方=(1+YTM/12)的60次方这么算错在哪儿了呀,这么计算出来的YTM是B选项,答案给的A
回答(1)
Danyi2022-08-03 10:55:19
同学你好,
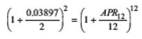
首先,5%是coupon rate,而这道题目是关于计算YTM,所以要使用的是3.897%。
第二个,YTM之间的转化是计算年化的,不是整个债券的期限。正确的见下图
----------------------
学而时习之,不亦说乎【点赞】鼓励自己更加优秀,您的声音是我们前进的源动力,祝您生活与学习愉快!~
- 评论(0)
- 追问(0)
评论
0/1000
追答
0/1000
+上传图片


