weiwei2022-07-24 07:38:38
视频43:35秒位置这个方差的计算公式不明白,在讲义里面哪里讲到了呢?
回答(1)
Evian, CFA2022-07-24 14:54:45
ヾ(◍°∇°◍)ノ゙你好同学,
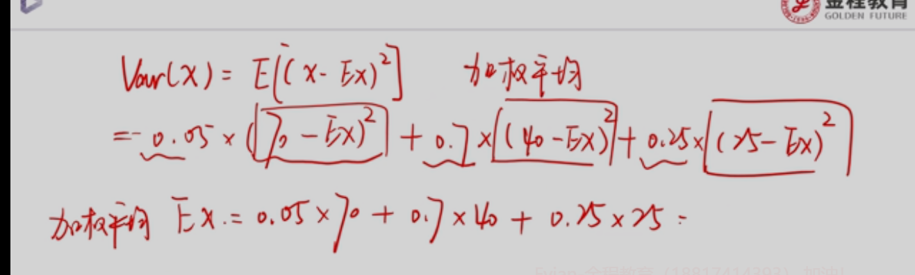
在数量基础班讲义章节“Probability Concepts”的知识点“Expected Value & Variance”
可以这样理解公式:
每一个随机变量Xi减去均值X拔,平方,然后乘以对应的概率Pi
---------------------
学而时习之,不亦说乎👍【点赞】鼓励自己更加优秀,您的声音是我们前进的源动力,祝您生活与学习愉快!~
- 评论(0)
- 追问(0)
评论
0/1000
追答
0/1000
+上传图片


