137****46132022-07-19 14:29:29
请讲解一下这道题谢谢
回答(1)
最佳
Evian, CFA2022-07-19 14:38:55
ヾ(◍°∇°◍)ノ゙你好同学,
方法一:手算
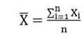
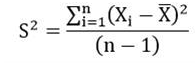
题目给出了10个观测值,也就是10个数据,组成了一个样本。题目的是样本标准差。
首先计算样本均值(公式为截图一)
然后计算样本标准差(公式为截图二)
方法二:用计算器求解样本标准差(过程中避免使用%):
BA II plus简便的方式是用2ND和7(按2ND再按7)
按2ND和CE/C清除历史记录
输入X这组随机变量,Y不用管(默认为1)
X01=-3(按3,再按负号,再按Enter)
向下↓,看到Y01=1,不管,向下↓
X02=-11(按11,再按负号,再按Enter)
直到10个X随机变量数据都输入完成
在2ND+8中,↓,找到Sx
补充:
Sx 样本标准差
σx 总体标准差
r样本相关系数
ρ总体相关系数
----------------------
学而时习之,不亦说乎👍【点赞】鼓励自己更加优秀,您的声音是我们前进的源动力,祝您生活与学习愉快!~
- 评论(0)
- 追问(1)
- 追答
-
用计算器求解样本均值和样本标准差
评论
0/1000
追答
0/1000
+上传图片



