郝同学2022-07-18 21:21:02
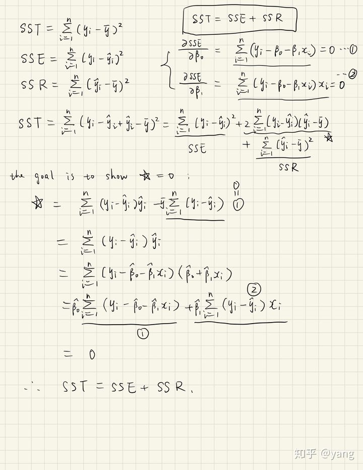
TSS=RSS+SSE, 这三个咋能相等了,从图理解的话就是a+b=c,c2=a2+b2?这个怎么理解
回答(1)
最佳
Evian, CFA2022-07-19 09:41:47
ヾ(◍°∇°◍)ノ゙你好同学,
请参考附图推导~
过程中,RSS和SSR是一个意思
----------------------
学而时习之,不亦说乎👍【点赞】鼓励自己更加优秀,您的声音是我们前进的源动力,祝您生活与学习愉快!~
- 评论(0)
- 追问(0)
评论
0/1000
追答
0/1000
+上传图片

