张同学2022-07-13 18:47:49
44:44为什么求0时刻的pv,没有按照EAR的正常公式计算,(1+r/m)的m次方后面为什么没有减1.并且算出ear后也没有n
回答(1)
Evian, CFA2022-07-13 18:50:20
ヾ(◍°∇°◍)ノ゙你好同学,
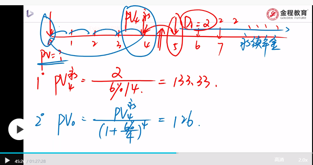
算126这一步折现
折现的期限是一年,从第四个季度末,折现到第一个季度初,时间跨度为1年,折现率为(1+EAR),就是(1+6%/4)^4
从另一个角度理解:PV0 x (1+EAR)=PV0 x (1+6%/4)^4=PV4=133,求PV0=126
----------------------
学而时习之,不亦说乎👍【点赞】鼓励自己更加优秀,您的声音是我们前进的源动力,祝您生活与学习愉快!~
- 评论(0)
- 追问(0)
评论
0/1000
追答
0/1000
+上传图片

