112022-06-15 16:47:47
t=t, valuation=St-FP/(1+rf)^T-t, 那carrying cost↑ →FP↑,执行价↑,valuation↓,即得到的收益↓,call ↓, 最终的结论为什么是相反的,carrying cost↑→FP↑→call ↓?
回答(1)
Evian, CFA2022-06-15 22:18:37
ヾ(◍°∇°◍)ノ゙你好同学,
valuation=St-FP/(1+rf)^T-t
这个公式适用于远期合约估值,不适用于判断期权价值变化
在期权合约中,如果不说“X”变了,那么“X”执行价格是一个不变的数值
----------------------
学而时习之,不亦说乎👍【点赞】鼓励自己更加优秀,您的声音是我们前进的源动力,祝您生活与学习愉快!~
- 评论(0)
- 追问(10)
- 追问
-
the forward price is more like the exercise price of the option, 远期价格相当于执行价,carrying cost↑→FP↑→call↑
如果是FP↑,执行价↑,call↓,除非carrying cost是在期间上涨的,执行价已经在期初定好了,不能改变,但是又考虑时间变动,又考虑carrying cost变动,好像不符合单因素x→f(x);
除非,这里的FP,说的是未来股价,FP↑→S↑
- 追问
-
这个表格,应该也不是动态的过程,carrying cost比较大,FP就会比较大,定的执行价比较大,call option, 未来股价要上涨高于执行价才更可能盈利,相较于执行价低的option, 盈利的可能性较低。
要么就是执行价越高,股价未来的价值越高,越可能上涨,来确保call option 执行的可能性?
- 追问
-
大概是从下一节课中,这个公式推出来的,FP↑→call↑
- 追答
-
是把追问作为了“笔记”嘛
- 追问
-
不是,是修正问题
- 追问
-
第一个追问,是根据您的思路提出的“反驳”,第二个追问,是发现走错路了,重新提出质疑,第三个追问,是上完下一节课之后,新的公式出现,但并未再此涉及,而risk free rate, 是用新的公式,老师特地强调,所以carrying cost 是否该用新的公式推出,未确定。每个追问不可删除,不然可以并到一起。抱歉。
所以carrying cost↑→FP↑→call ↓?怎么推导
- 追答
-
对于16号11:24的追问
the forward price is more like the exercise price of the option, 远期价格相当于执行价,carrying cost↑→FP↑→call↑
【回复】远期合约价格是像“exercise price”执行价格,但是远期合约里没有这个“exercise price”词组;持有成本在哪里都能用,但FP和Call不会一起用
如果是FP↑,执行价↑,call↓,除非carrying cost是在期间上涨的,执行价已经在期初定好了,不能改变,但是又考虑时间变动,又考虑carrying cost变动,好像不符合单因素x→f(x);
【回复】分析每一个因素时,单独考虑,不要混着来分析,
X上涨,Call option valuation下降;
持有成本上涨,Call option valuation上涨;
x→f(x)这个在衍生中没有出现过,分析的时候避免使用
除非,这里的FP,说的是未来股价,FP↑→S↑
【回复】期权里没有Forward price,在思考期权问题时,不考虑远期合约价格
- 追答
-
对16号 11:30 追问回复
这个表格,应该也不是动态的过程,carrying cost比较大,FP就会比较大,定的执行价比较大,call option, 未来股价要上涨高于执行价才更可能盈利,相较于执行价低的option, 盈利的可能性较低。
【回复】表格不是动态,是每个因素的分析;
持有成本较大,这时持有成本成本和X执行价格没有关系,单独考虑持有成本对期权价值的影响;
这句话对的:“未来股价要上涨高于执行价才更可能盈利,相较于执行价低的option, 盈利的可能性较低”
要么就是执行价越高,股价未来的价值越高,越可能上涨,来确保call option 执行的可能性?
【回复】执行价格,这一个因素变,S股价不变,期权价格越高。这个表格不考虑是否确保期权是否执行
- 追答
-
对16号 11:48追问回复
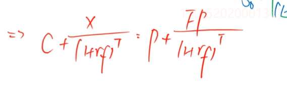
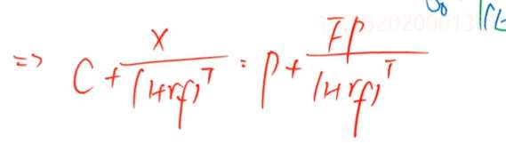
如果用买卖权平价公式考虑,只考虑可以看到公式中的项目,不考虑其他相关因素;
例如把c留在等式的左边,其余项目都移到公式的右边
公式里有X,可以考虑只有X变化的时候,对c看涨期权价值的影响
公式里没有S,就不考虑S对c看涨期权价值的影响
- 追答
-
对17号 11:08追问回复
第一个追问,是根据您的思路提出的“反驳”,第二个追问,是发现走错路了,重新提出质疑,第三个追问,是上完下一节课之后,新的公式出现,但并未再此涉及,而risk free rate, 是用新的公式,老师特地强调,所以carrying cost 是否该用新的公式推出,未确定。每个追问不可删除,不然可以并到一起。抱歉。
【回复】好的
所以carrying cost↑→FP↑→call ↓?怎么推导
【回复】持有成本确实影响远期合约价格的定价,但是远期合约价格对call option valuation没有直接影响关系,如果你用买卖权远期合约平价公式分析,将研究的项目放在左边,其余全部放在右边,仅仅分析等号左边的项目,等号右边的项目只考虑一个项目的变动
评论
0/1000
追答
0/1000
+上传图片





