xx2022-06-10 11:22:32
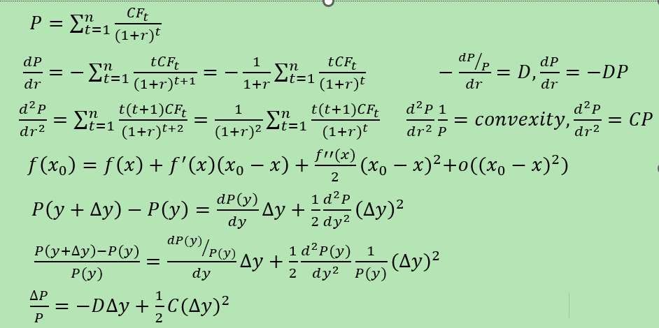
视频处5:54,1/2conv*delta_y^2是咋推来的呢
回答(2)
Danyi2022-06-10 13:29:51
同学你好,
这里可以理解为通过历史数据计算得到的结论,教材中并没有涉及,只需要把这个公式记住即可
为乘风破浪的你【点赞】👍让我们知晓您对答疑服务的支持!~
- 评论(0)
- 追问(0)
112022-10-17 12:01:07
。
- 评论(0)
- 追问(0)
评论
0/1000
追答
0/1000
+上传图片


