可同学2018-06-15 16:54:34
老师,85题我用的EAR的公式,算出来的A选项,但是答案是B, B用的哪个公式啊?这道题为什么不用EAR的公式呢?
回答(1)
最佳
张玮杰2018-06-15 17:42:34
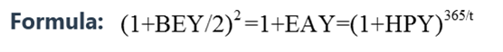
同学你好,这题考的是HPR和EAR直接的转换,应该用下面这个公式,他们直接还可以和BEY转换,这里就直接把t看成是月份了。一年是12个月,365就成12了,t就成16
- 评论(0)
- 追问(0)
评论
0/1000
追答
0/1000
+上传图片


