张同学2018-06-10 09:56:06
第一题两个总体参数为什么是不独立的呢?怎么看的? 第二题pooled estimator是什么?在课堂的哪边提及了此知识点?
回答(1)
张玮杰2018-06-11 17:00:42
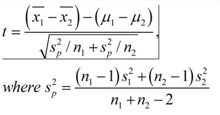
同学你好,36题,题目中提到了,这个投资者给的收益率是250个人的,但是这个雇主检验的是这其中45个账户,属于这一部分,非独立样本检验,用成对数检验,而第34题,也是在这章里的内容,也是我们在检验两个方差的方法中出现的,这个是在我们检验两个数据方差时的标准误,具体看下图,就这个Sp
- 评论(0)
- 追问(2)
- 追问
-
第二题还是没懂,pooled estimator是什么?
- 追答
-
同学你好,这个是我们想知道两个相互独立的正态分布总体的均值是否相等时,我们用t检验来做,取样本,那么这个pooled estimator就是这里的标准误,因为是两个样本,所以有n1-n2-2,为分母,因为是t检验,那么我们就是df=n-1,可以明白么。
评论
0/1000
追答
0/1000
+上传图片



