Johnny2021-11-18 01:18:30
33:44这道题,金融计算机怎么按?
回答(1)
Jessica2021-11-18 18:47:48
同学你好
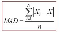
MAD,平均绝对偏差,代表的是每一个数偏离其均值的平均距离。
每一个数据到均值的距离,都是一个大于0的常数,即每个数据减去均值的绝对值,然后对所有的距离取算术平均数,得到平均距离,也就是MAD,算数公式如下图.
由于MAD是带绝对值的,因此是无法使用金融计算器直接计算出来的,可以先使用计算器的统计功能计算出原来数据的均值,然后根据公式把输入的每个数据都调整成每一个数偏离其均值的平均距离,然后再运用计算器的统计功能计算出当前这组新数据的均值,即为所求的MAD
为乘风破浪的你【点赞】👍让我们知晓您对答疑服务的支持!~
- 评论(0)
- 追问(0)
评论
0/1000
追答
0/1000
+上传图片

