王同学2018-05-28 08:22:47
老师你好,我不太明白这道题问什么,也看不懂解析,能不能麻烦老师讲解下?
回答(1)
张玮杰2018-05-28 10:14:17
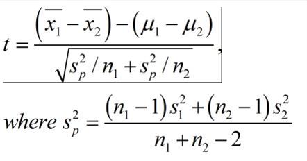
同学你好,这道题就是在问t值,考的就是下面这个公式,两个独立样本间的计算,题目里说的pooled estimator就是公式里的Sp。
- 评论(0)
- 追问(2)
- 追问
-
请问老师这个Sp是什么啊?我还是不太明白
- 追答
-
同学你好,Sp是检验两组数据方差时的标准误
评论
0/1000
追答
0/1000
+上传图片


