陈同学2018-05-24 05:51:47
请问老师,第26题,这个pooled estimator是什么?好像老师上课没讲过?
回答(1)
最佳
张玮杰2018-05-24 09:13:08
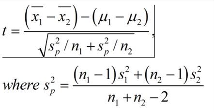
同学你好,这个pooled estimator是我们在检验两个方差时的标准误
- 评论(0)
- 追问(0)
评论
0/1000
追答
0/1000
+上传图片


