李同学2021-08-22 21:32:50
请老师分别解释一下三个选项
回答(1)
Danyi2021-08-23 13:57:41
└(^o^)┘同学你好,
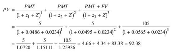
这道题解析见下图
为乘风破浪的自己【点赞】让我们知晓您对答疑服务的支持~
- 评论(0)
- 追问(2)
- 追问
-
为什么分母要加上0.234
- 追答
-
因为题干中说了Z-spread是234bps,spread是收益率的组成部分,所以要加上
评论
0/1000
追答
0/1000
+上传图片


