回答(1)
Jessica2021-08-19 18:54:57
同学你好,
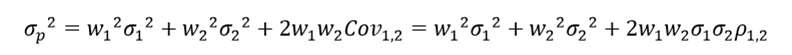
当一个组合由两个资产构成的时候,组合的收益率的方差计算公式见下图
然后把题干中的数据带入计算即可得出0.0241
为努力学习的自己【点赞】,祝同学顺利通过考试~金榜题名哦~
- 评论(0)
- 追问(2)
- 追问
-
为什么我计算出来是0.027532?能把详细数字,代入公式,然后提供一下吗?谢谢!
- 追答
-
同学你好,
由于题目中直接告知了covariance=0.001,因此 σ1*σ2*ρ1,2=covariance=0.001
故σp^2=(0.4^2)*(0.085^2)+(0.6^2)*(0.25^2)+2*0.4*0.6*0.001=0.024136≈0.024
为努力学习的自己【点赞】,祝同学顺利通过考试~金榜题名哦~
评论
0/1000
追答
0/1000
+上传图片

