屎同学2021-08-17 18:18:35
老师我是上图这样算的,无法保留到您做题那种小数点后8位,所以做错了,请问您我们在考试时候到底应该把计算器调到小数点后几位呢?还是说考试时候不会有这样的题目?
回答(1)
Evian, CFA2021-08-18 00:43:55
同学└(^o^)┘你好,
1】4位小数支持通过CFA一级考试
2】如果一个得数为1.23456789,计算器心里知道有8位小数,只不过我们设置了4位小数,于是仅仅显示1.2346。如果计算器运算也是以“1.2345678”为基础而不是1.2346为基础
3】可以用STO方式存储“某一个步骤得出的数值”,然后用RCL调用“这些存储过的数值们”
举例:
如果我们想计算器帮我们记住3.1415926这个数字
我将‘3.1415926’输入在屏幕
然后按"STO",然后
0-9任意选择一个键,作为存储器
总的来说:STO 再按一个 1 (我举例选择1)表示将“3.1415926”存在了“1”键中
此时可以进行其他运算
如果后续想用到,可以按RCL再来一个1,屏幕上会显示“3.1415926”
👍为乘风破浪的你【点赞】让我们知晓您对答疑服务的支持!~
- 评论(0)
- 追问(4)
- 追问
-
谢谢您提供sto键方法。1】我明白只是显示不出来而已。然后我想问的是,我用了保留4位,方法也没有错,但是为什么选项去没有答案,必须要保留更多位才能看见答案?然后,为什么答案是将百分号当作符号的呢?考试中答案是哪种形式呈现?
- 追答
-
第一种情况是协会自己保留了小数,通常是4位小数,如果我们和协会不一致,此时结果不一致。
第二种情况是算错了。
以“%”为单位,是老外的一种习惯。
我不能确定考试会出现这种%为单位的情况,因为原版书也有将“%”作为0.01计算。
- 追问
-
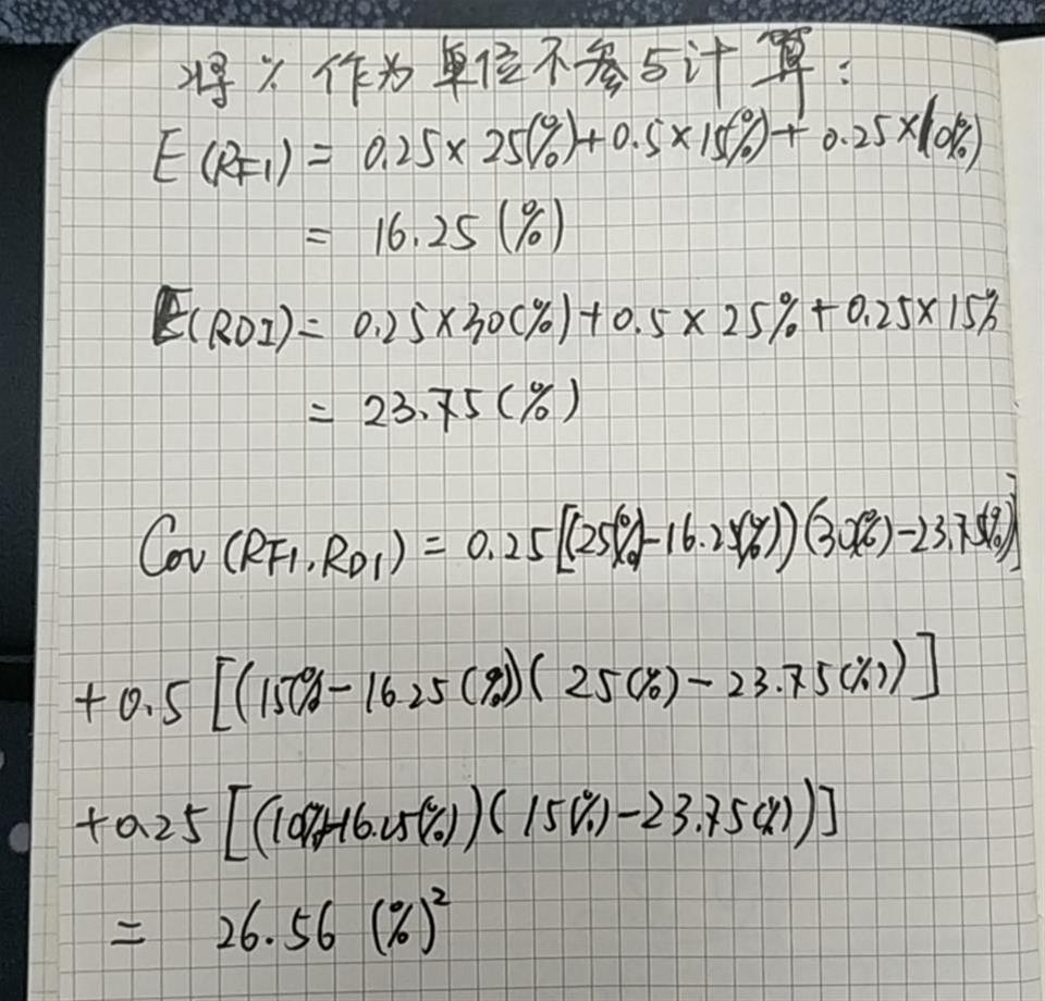
上图我哪一步算错了?没有错吧?只是计算器保留了4位小数。但是答案显示的数据是把%当作单位的答案。例如:A 20.2355 B 20.2356 同样情况下,%不当做符号 A 0.2034 B 0.2034 就是一样的。所以,考试有可能把百分号当作符号对吗?然后发现答案不对。给计算器调成保留8位,再从新算一次?
- 追答
-
你没有错,计算正确,我也算了一遍。
考试的时候按照%=0.01思考,此时计算出来的结果一定有选项。
评论
0/1000
追答
0/1000
+上传图片



