陈同学2018-05-11 19:33:02
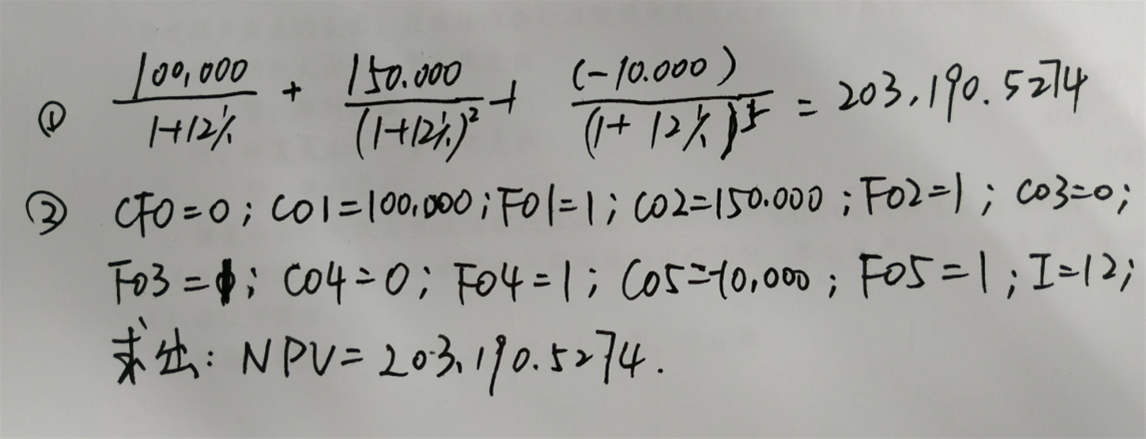
你好,原版书后题第16页第24题,我看了答案,是未来现金流折现求和,即三项想加。为什么不能用金融计算器,算出是C,第三,第四年因为没有现金流,我们就把0现金流输入(C03,C04),也是5年现金流,用CF键,为什么结果不一样,
回答(1)
Evian, CFA2018-05-14 13:04:47
同学你好,这道题选的是B,手算和计算器得数一致
- 评论(0)
- 追问(0)
评论
0/1000
追答
0/1000
+上传图片



