回答(1)
Jessica2021-07-20 20:22:35
同学你好,
PPI更接近business contact,这句话是对的。但是CPI和labor contract是没有关系的。
为努力学习的自己【点赞】,祝同学顺利通过考试~金榜题名哦~
- 评论(0)
- 追问(9)
- 追问
-
老师视频里讲的第二个公式growth rate=小y变化率+labor变化率 讲义里怎么没有?
- 追答
-
同学你好,
基础班的讲义中有的哦,是讲义中的第三个公式。可以看一下下图,对应找一下
为努力学习的自己【点赞】,祝同学顺利通过考试~金榜题名哦~
- 追问
-
labor productivity 是小k吗?
- 追问
-
labor productivity 是小y吗?就是per-capita potentical GDP?
- 追答
-
同学你好,
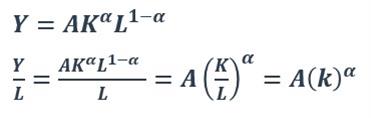
labor productivity,小y=Y/L
上图中公式是 △%Y (Potential growth rate )= △%L (Long-term growth rate of labor force ) + △%y (Long-term labor productivity growth rate)
而 growth in per-capita potential GDP= growth in technology + WC (growth in the capital-to-labor ratio)
为努力学习的自己【点赞】,祝同学顺利通过考试~金榜题名哦~
- 追问
-
"labor productivity 是小y吗?就是per-capita potentical GDP?"老师这是我第二次问的问题,就是说labor productivity 是per-capita potentical GDP都是Y/L 对吧?相关内容公式您可以总结一下吗?讲义有文字没有公式。辛苦您了,谢谢~
- 追答
-
同学你好,
是的,小y,是labor productivity ,也是per-capita potentical GDP
经济增长率的公式,一共有三个,按照讲义的顺序,分别是:
1)△%Y = △%A + WL*△%L +WC*△%K
2)△%y = △%A + WC*△%k
3)△%Y= △%L + △%y
为努力学习的自己【点赞】,祝同学顺利通过考试~金榜题名哦~
- 追问
-
△%y = △%A + WC*△%k这个公式里的WC应该是Wk吧?就是K/L的权重
- 追答
-
同学你好,
是的,这里,Wk=WC=阿尔法哦。
为努力学习的自己【点赞】,祝同学顺利通过考试~金榜题名哦~
评论
0/1000
追答
0/1000
+上传图片


