屎同学2021-07-20 13:21:09
2)growth in per-capita potential GDP= growth in technology + WC (growth in the capital-to-labor ratio),选项C其实上描述的是第二个公式,只是少了一个权重WC,所以选项C错在了没有权重。老师这个权重到底是在growth in the capital-to-labor ratio(即;K/L)的指数上还是在K/L的系数上?讲义写的是多少次方,您写的是多少倍
查看试题回答(1)
Jessica2021-07-20 20:20:27
同学你好,
是的。是错在了少了权重。至于是指数还是系数,这是对公式的一个变形,对指数进行对数化就可以变成系数。
为努力学习的自己【点赞】,祝同学顺利通过考试~金榜题名哦~
- 评论(0)
- 追问(2)
- 追问
-
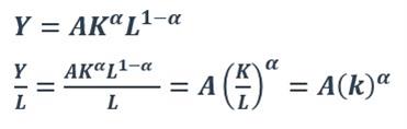
老师那为什么指数系数化之后权重是Wc ,K/L为什么是capital 的权重?
- 追答
-
同学你好,
Wc ,它只是表示的 capital-to-labor 的一个权重,不是一个具体的数值。根据柯布道格拉斯生产函数推导出来的具体的值的话,Wc=α。k=K/L。公式变形见下图哦
为努力学习的自己【点赞】,祝同学顺利通过考试~金榜题名哦~
评论
0/1000
追答
0/1000
+上传图片

