辛同学2021-07-14 14:04:02
请问一级百题经济学讲义第13页说在不完全竞争市场MR小于P,如何理解?
回答(1)
Jessica2021-07-14 14:47:59
同学你好,
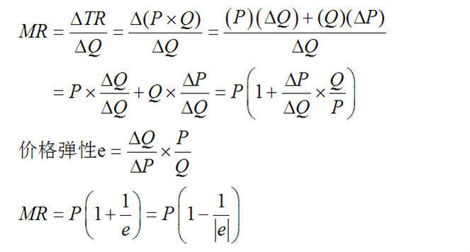
在不完全竞争中,平均收益曲线AR(P=AR仍成立)和边际收益曲线MR不在重合,即当销量上升时,平均收益AR(或需求曲线)与MR都会下降,只不过下降的速率不同,其中MR的曲线更陡峭。可以通过数学关系推导出P与MR之间的关系(见下图)
为努力学习的自己【点赞】,祝同学顺利通过考试~金榜题名哦~
- 评论(0)
- 追问(0)
评论
0/1000
追答
0/1000
+上传图片


