185****83262021-07-06 22:36:21
这里这个公式不懂,老师就说不用纠结啥是一阶导,我也不会一阶导,能有老师麻烦结实一下吗
回答(1)
Jessica2021-07-07 11:06:50
同学你好,
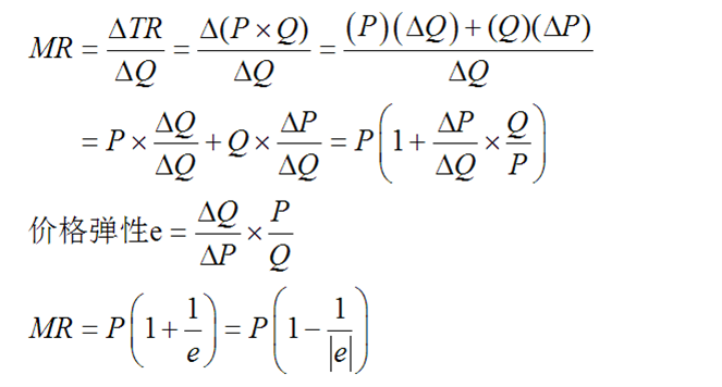
边际收益,指的是每增加一单位产品的销量带来的总收益的增加额,是总收益对需求量求一阶导数,公式为MR=dTR/dQ。
TR是关于Q的一元函数,不用分Q1和Q2。具体的求导过程可以看一下下图哈。
- 评论(0)
- 追问(0)
评论
0/1000
追答
0/1000
+上传图片



