余同学2021-06-27 18:35:16
标黄的地方是怎么推出来的?请老师详细解答下
回答(1)
Jessica2021-06-28 19:52:03
同学你好,
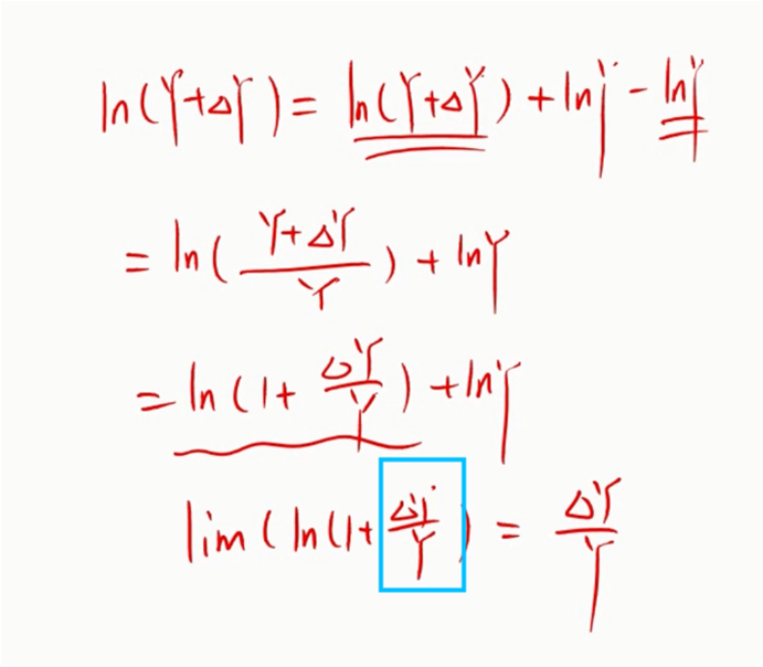
同学你好,
Lim ln(1+x)=X,这是在当X趋近于无穷小时时,对ln(1+x)求极限得到的。
你的笔记中写错了,可以看一下下图哈
为努力学习的自己【点赞】,祝同学顺利通过考试~金榜题名哦~
- 评论(0)
- 追问(0)
评论
0/1000
追答
0/1000
+上传图片



