杨同学2021-06-18 22:35:34
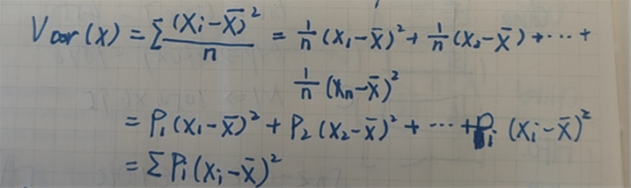
老师,请问一下variance有两个计算公式,第一个是P乘(X-EX)的平方加总,另一个公式是(X-均值)的平方加总后除以n。请问什么时候用第一个公式?什么时候用第二个公式?
查看试题回答(1)
Evian, CFA2021-06-21 15:36:47
└(^o^)┘同学你好,
第一和第二个公式是有关系的,其实1/n是一个概率,在第二个公式中probability=1/n
为乘风破浪的你【点赞】👍让我们知晓您对答疑服务的支持!~
- 评论(0)
- 追问(0)
评论
0/1000
追答
0/1000
+上传图片

