董同学2018-04-30 23:04:55
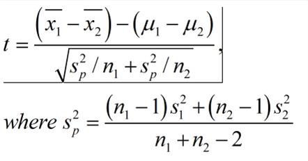
34题目pooled estimator是什么意思,为什么选择b
回答(1)
张玮杰2018-05-02 18:43:21
同学你好,pooled estimator是我们在检验两个方差时候的标准误
- 评论(0)
- 追问(0)
评论
0/1000
追答
0/1000
+上传图片


