卫同学2021-04-04 20:53:00
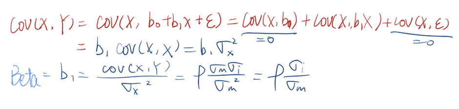
β的两个定义式之间如何证明是等价的。有没有证明过程?
回答(1)
Evian, CFA2021-04-06 11:21:30
└(^o^)┘同学你好,感谢您耐心的等候!~
证明过程请参考附图~
为乘风破浪的自己【点赞】让我们知晓您对答疑服务的支持~
- 评论(0)
- 追问(2)
- 追问
-
这里的b1是不是用最小二乘法回归得到的scl线的斜率?
- 追答
-
嗯嗯,是的,x自变量是Rm-Rf,y应变量是Ri-Rf,此时x和y回归的残差项(期望为0),满足最小二乘法回归前提条件。
评论
0/1000
追答
0/1000
+上传图片

