必同学2020-11-30 18:04:33
请讲解一下88题
回答(1)
Danyi2020-12-01 13:32:27
同学你好,
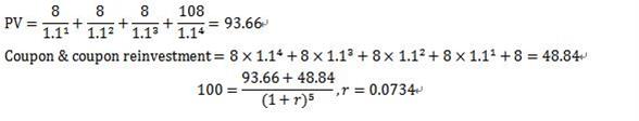
这道题是一个9年的债券,在第五年卖出,求这一段时间的持有期收益率。
分别求出债券卖出的价格以及coupon reinvestment,相加就是总的收益,再除以期初的买价就是持有期间收益。
- 评论(0)
- 追问(0)
评论
0/1000
追答
0/1000
+上传图片



