乐同学2020-11-27 18:46:28
关于spot rate 和forward rate的定义区别可以再讲一下吗? 这里的single payment为什么是描述spot rate?我觉得forward也是single payment呀 不太理解怎么从定义描述上区分二者。
回答(1)
Danyi2020-11-30 17:42:58
同学你好,
1. spot rate:从0时刻开始的,比如0-1就是S1(一年期利率),0-2就是S2(两年期利率)
forward rate:是站在一个时点上,然后延续一段时间之间的利率。比如1-2(一年以后的一年期利率),2-3(两年以后的一年期利率)
2. 这个就是spot rate的定义,见下图讲义
- 评论(0)
- 追问(6)
- 追问
-
想问下这里用的spot rate 和经济学中外汇用的spot rate 是不是两个概念? 我感觉固收里说的是一段时间零息债券的YTM,但经济学里算cross rate 就是作为t=0这个时点上的汇率?
- 追答
-
对的,这是完全两个概念。分开学习。
- 追问
-
老师,对于spot rate 和 forward rate 做题时具体怎么画图还是有点分不清。
目前我的理解,spot rate都是从0时间点开始往后画,如果题目表格中给1,代表S1,就是0-1这一段,不存在从当中开始,都是从0到数字对应的时点。
forward rate就有点搞不清了,因为有看到是从期末时点往前到任意一个时点的跨度(强化班视频中就是这样讲解概念的),也有从中间开始表示一小段的(模考136第99题)。对于y1y2这样表述的,比较容易理解就是从第几时点开始走几个period为一个区间,但对于直接给数字的forward rate 应该怎么看呢?模考和百题题目中给的forward 1.5 对应是 1-1.5, 那就是默认只给终值,然后自动往前推一个period的区间吗?
- 追答
-
同学你好
1.spot rate都是从0时间点开始往后画,如果题目表格中给1,代表S1,就是0-1这一段,不存在从当中开始,都是从0到数字对应的时点。正确
2.因为有看到是从期末时点往前到任意一个时点的跨度(强化班视频中就是这样讲解概念的),也有从中间开始表示一小段的(模考136第99题)。这两个实质都是一样的,都是站在未来的时间(不从0时刻开始),然后延续一段时间之间的利率。
从期末时点往前到任意一个时点的跨度:这个因为债券价格是未来现金流折现求和来计算的,所以也用了这样的思想。单看图片,依然是都是站在未来的时间(不从0时刻开始),然后延续一段时间之间的利率。只是此时延续到了到期时间而已。
- 追问
-
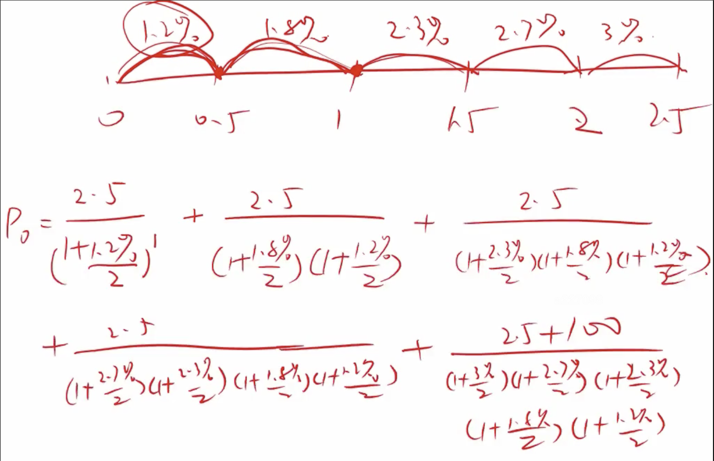
对于直接给数字(years) 的forward rate 应该怎么看呢?模考和百题题目中给的forward 1.5 对应是 1-1.5, 那就是默认只给终值,然后自动往前推一个period的区间吗?是不是所有做题时候的forward rate都是这样画?
- 追答
-
同学你好,
见下面两张图
评论
0/1000
追答
0/1000
+上传图片







