彭同学2020-11-05 21:22:58
老师,我想问一下Var(Y)后面的计算公式是怎么来的?
回答(1)
Evian, CFA2020-11-06 18:39:26
└(^o^)┘你好同学,
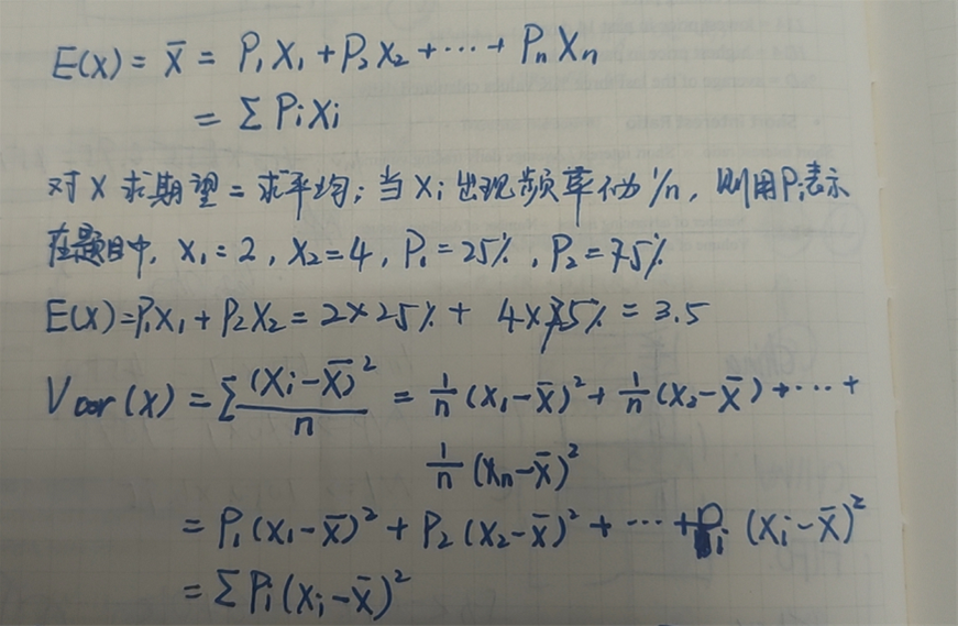
附图推到过程
在伯努利事件中只有两个结果,X1=1,X2=0,概率分别p和1-p
带入Var(X)中可以得到你截图中的公式,Var(Y)和Var(X)是一个意思,有X或者Y代表一组随机变量
为乘风破浪的自己【点赞】让我们知晓您对答疑服务的支持~
- 评论(0)
- 追问(0)
评论
0/1000
追答
0/1000
+上传图片


