Johnny2020-10-31 15:09:35
请问这个求偏微分没错吗?把Q也当成变量的话,分母为什么不求导?
回答(1)
Sinny2020-11-02 11:06:45
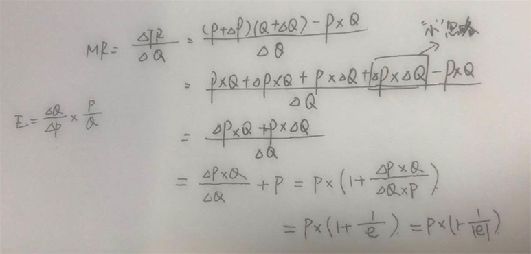
同学你好,老师这里讲的确实有一点问题的哦,这里是不需要用到偏微分的
具体的推导见下图哦
- 评论(0)
- 追问(0)
评论
0/1000
追答
0/1000
+上传图片


