乐同学2020-10-18 16:49:17
Q38,这道题是不是不用计算就可以推出答案? 选看standard deviation 找三个里面最小的,发现2和3一样,再看2和3的ρ,选小的那个,得出答案是B。
回答(1)
Evian, CFA2020-10-19 16:33:15
└(^o^)┘你好同学,
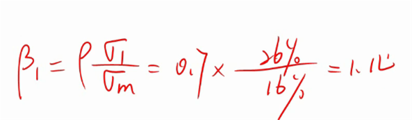
直接看出来应该是一个巧合,下一次不一定准,有三个变量,还是依据公式更准确一点。
附图中,如果想Beta最小,那么分子应该最小,分母大家都是一样的,相关系数应该最小。
为乘风破浪的自己【点赞】让我们知晓您对答疑服务的支持~
- 评论(0)
- 追问(0)
评论
0/1000
追答
0/1000
+上传图片

