吴同学2020-09-20 22:50:18
在3:11这里的var p公式是组合的方差的意思吗?求出来的数代表什么意思呢?
回答(1)
Evian, CFA2020-09-21 16:59:06
你好同学,
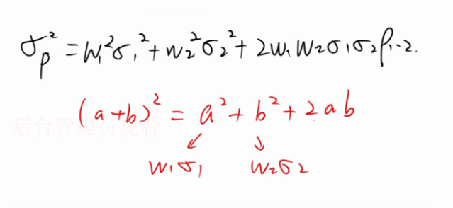
你的理解是正确的,σp是投资组合的标准差,图中在求投资组合的方差,求出的是A和B两个资产做组合得出新的投资工具的标准差,可以用来衡量风险程度。
To乘风破浪的你,希望以上信息可助力您更好理解知识点,【点赞】让我们知晓您对答疑服务的支持~
- 评论(0)
- 追问(2)
- 追问
-
那求出来这个数是用什么benchmark来衡量是好还是坏呢?
- 追答
-
计算出来的结果通常有两种对比,第一种是和投资者自己的风险承受能力对比,第二种是和一个基准水平对比。
1.如果投资组合的风险高于或者低于投资者的承受能力,需要对投资组合进行调整。
2.如果投资组合的风险高于或者低于基准水平,需要对投资组合内的金融资产做调整。
评论
0/1000
追答
0/1000
+上传图片

