Mike2020-09-17 12:18:31
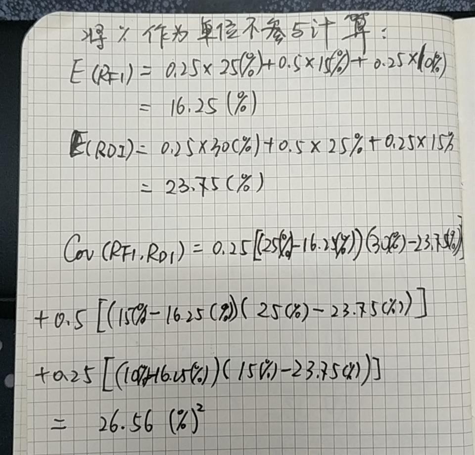
老师好,请问这道题收益率直接取的数值,都省掉了%。这个和例题有出入,请问怎么回事。按例题的方式解出来应该是0.0027,除非再精确两位,不然选不出答案。
查看试题回答(1)
Evian, CFA2020-09-17 15:52:56
同学你好,
无论是否将%作为单位,结果一致
To乘风破浪的你,希望以上信息可助力您更好理解知识点,【点赞】让我们知晓您对答疑服务的支持~
- 评论(0)
- 追问(0)
评论
0/1000
追答
0/1000
+上传图片


