12020-09-13 15:43:36
这道题怎么算啊谢谢
回答(1)
Evian, CFA2020-09-14 10:46:41
你好同学,
本题应该选择C。标准普尔500指数的极差和MAD都大于样本投资组合的极差和MAD。因此,这两个指标都表明标普500指数的风险更大。
标准普尔500指数的极差等于数据集中最低值和最高值之间的距离:[29.60% -(- 38.49%)]= 68.09%。鉴于该范围大于样本投资组合67.09%的极差,标准普尔500指数的风险高于样本投资组合。
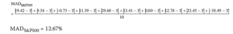
标准普尔500指数的MAD等于平均回报率的绝对偏差之和,再除以观测数。
考虑到对标准普尔500指数的MAD大于对样本投资组合的MAD(分别为12.67%和11.78%),标准普尔500指数的风险高于样本投资组合。
To乘风破浪的你,希望以上信息可助力您更好理解知识点,【点赞】让我们知晓您对答疑服务的支持~
- 评论(0)
- 追问(2)
- 追问
-
29.6 38.49哪来的呢题中没有给啊谢谢
- 追答
-
在题目信息中
评论
0/1000
追答
0/1000
+上传图片



