Oliverbug2020-07-20 00:12:11
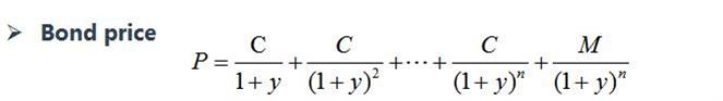
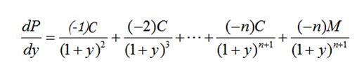
老师,知道P=c/r了 1. 用p对r求导,是因为这是duration的定义吗? 2. Dp/Dr ,这是怎么求出来的? 底下那个Dr 求导,(1/r)'=1/r^2 我理解,但是分子Dp求导为什么得出C?
查看试题回答(1)
Danyi2020-07-20 14:03:58
同学你好,
1.是的
2.因为分子上就是C,求一阶导,分子不变,只是分母按照你理解的求导了,见下图
- 评论(0)
- 追问(0)
评论
0/1000
追答
0/1000
+上传图片


